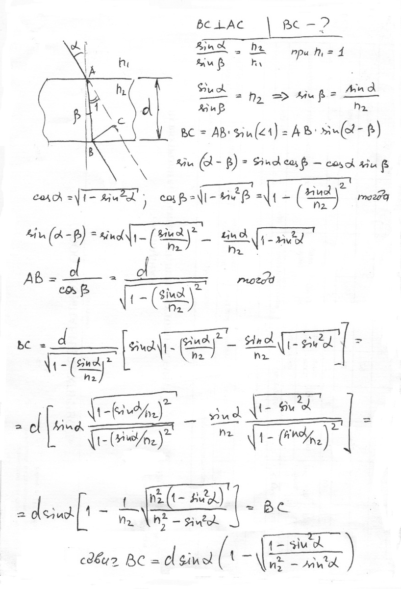
Найти смещение A луча, проходящего через прозрачную пластину с параллельными гранями, если угол падения луча равен АЛЬФА, угол преломления БЕТА, а толщина пластины D.
Смещение = путь луча через пластину * sin (альфа- бета). Путь луча через пластину = D*cos бета.Смещение = D cos бета* sin (альфа -бета).
Все решение производится через построение, Рассмотрение треугольников и нахождение нужного расстояния (стороны треугольника) с помощью тригонометрии.
Угол падения светового луча на стеклянную плоскопараллельную пластинку равен 50 (градусов) (толщина пластины 10 мм). На сколько смещается луч после прохождения через пластинку?
Дано:\alpha=50 град.h(толщина пластины)=10мм
LI=?(вложения)
\( 1)\gamma=\alpha-\beta\\\frac{sin\alpha}{sin\beta}=\frac{n_2}{n_1}\\\frac{sin50^0}{sin\beta}=\frac{1.6}{1}\\sin\beta=\frac{0.7660}{1.6}=0.4787\\\beta\approx29^0\\\\2)cos29^0=\frac{10}{HI}\\HI=\frac{10}{0.8746}=11mm\\\\3)sin21^0=\frac{LI}{HI}\\LI=sin21^0*HI=0.3584*11\approx4mm \)

Определите смещение луча, прошедшего через плоскопараллельную пластинку толщиной 6 мм, имеющую показатель преломления 1,7. Угол падения луча на пластику 60 градусов
Угол падения φ1=60°Найдем угол преломленного луча φ2.
Согласно закону Стелла n1*sinφ1=n2*sinφ2
n1=1 (показатель преломления воздуха)
n2=1,7
sinφ2=sinφ1/n2 = sin 60° / 1,7 = 0,509
φ2=arcsin(0,509) = 30°
Рассмотрим треугольник АВС (см. Рисунок)
АВ=АС/cosφ2 = S/cosφ2=6/cos30°=3√3
Рассмотрим треугольник АВD
Искомое смещение h=BD=AB*cos(φ1-φ2) = 3√3*√3/2=9/2=4,5 мм.
Ответ 4,5 мм

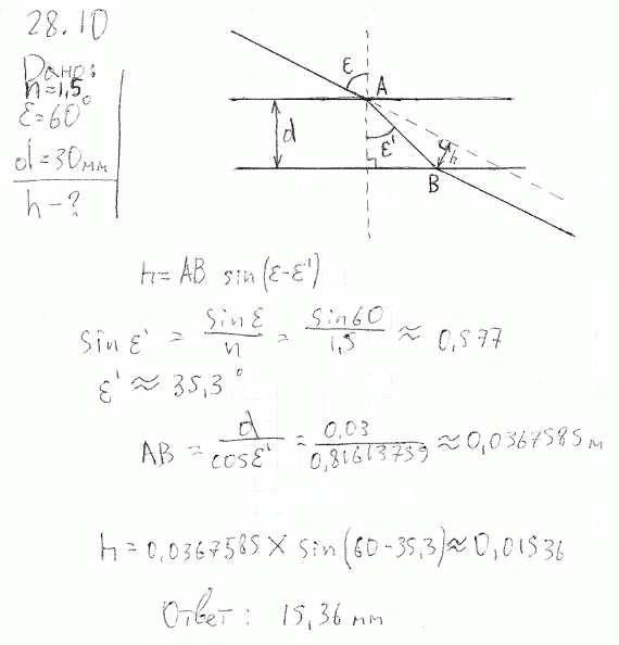
Угол падения луча на поверхность плоскопараллельной пластинки равен 60°. Толщина пластинки 1,73 см, показатель преломления 1,73. На сколько смещается вышедший из пластинки луч?
ε=60d=1,73
n=1,73
h=?
1,73 ~√3
h=AB*sin(ε-ε1), AB- путь пройденный в стекле
sinε1=sinε/n=sin60/1,73=0,5
ε1=30
AB=d/cosε1=d/cos30=2
h=AB*sin(60-30)=2*sin30=1
Ответ: 1

Луч света проходит через плоскопараллельную стеклянную пластинку толщиной 1 см найти смещение луча при угле падения 45?
Сдвиг луча можно найти по формуле сдвиг = d*sinα{1-√((1-sin²α)/(n²-sin²α)). Вывод формулы смотрите во вложении. Подставив известные величины в формулу имеем сдвиг = который найти нельзя, так как не задан показатель преломления стекла для неизвестно какой длины волны луча света.
