Кинематика
Закон сложения скоростей. Вектор скорости и его проекции.

Скорость - величина векторная. Она подчиняется законам, принятым для векторов. Сложение. Пусть нам надо найти сумму двух векторов скорости, расположенных под некоторым углом друг к другу. Тогда надо путем параллельного переноса поместить начало вектора второй скорости в конец вектора первой скорости и построить новый вектор, соединив начало первого вектора с концом второго: от первого ко второму. Полученный вектор и будет...
Что такое материальная точка и в каком случае тело можно принять за материальную точку?

Материальная точка — тело, размерами которого в данных условиях можно пренебречь. Этой моделью пользуются в тех случаях, когда линейные размеры рассматриваемых тел много меньше всех прочих расстояний в данной задаче или когда тело движется поступательно. Система отсчета — это система координат, связанная с телом отсчета, и выбранный способ измерения времени. Координата x точки Μ — это проекция конца радиуса-вектора...
Относительность механического движения. Системы отсчета.

Что называют механическим движением? Почему нужно указывать, относительно каких тел движется тело? Что такое "тело отсчета"? Почему покой тоже относителен? Какие бывают системы отсчета. Механическое движение При рассмотрении движения тела в физике вводится несколько упрощений, которые позволяют выявить основные закономерности и описать их математически. Одно из таких упрощений - рассмотрение тела как точки. Это возможно в том случае, когда размеры...
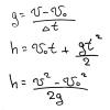
Свободное падение тела

Свободное падение — это равноускоренное движение под действием силы тяжести. Например, парашютист в течение нескольких первых секунд прыжка находится практически в свободном падении. Свободное падение возможно на поверхность любого тела, обладающего достаточной массой (планеты и их спутники, звёзды, и т. п. ). Во время свободного падения какого-либо объекта этот объект находится в состоянии невесомости (как если бы он находился на...
Равномерное движение по окружности. Центростремительное ускорение

Движение тела по окружности является частным случаем криволинейного движения. При движении по окружности может изменяться не только направление скорости тела, но и ее модуль. Возможно движение, при котором изменяется только направление скорости, а ее модуль остается постоянным. Такое движение называют равномерным движением тела по окружности. Равномерное движение по окружности - это движение, при котором материальная точка за равные промежутки...
Движение тела, брошенного горизонтально

При горизонтальном броске с начальной скоростью \(v_0\) движение тела удобно рассматривать как два движения: равномерное вдоль оси ОХ (вдоль оси ОХ нет никаких сил препятствующих или помогающих движению) и равноускоренное движение вдоль оси OY. Скорость в любой момент времени направлена по касательной к траектории. Ее можно разложить на две составляющие: горизонтальную и вертикальную. Горизонтальная составляющая всегда остается неизменной и равна...
Криволинейное движение. Вращательное движение твердого тела вокруг неподвижной оси

Криволинейное движение материальной точки Криволинейное движение – это движение, траектория которого представляет собой кривую линию (например, окружность, эллипс, гиперболу, параболу). Примером криволинейного движения является движение планет, конца стрелки часов по циферблату и т.д. В общем случае скорость при криволинейном движении изменяется по величине и по направлению. При этом вектор скорости и вектор ускорения НЕ направлены вдоль одной прямой. Криволинейная траектория...
Тело брошено под углом к горизонту: находим дальность, скорость, высоту подъема

Если тело бросить под углом к горизонту, то в полете на него действуют сила тяжести и сила сопротивления воздуха. Если силой сопротивления пренебречь, то остается единственная сила – сила тяжести. Поэтому, вследствие 2-го закона Ньютона тело движется с ускорением, равным ускорению свободного падения; проекции ускорения на координатные оси равны а х = 0, а у = -g. Вектор скорости...