Свободное падение — это равноускоренное движение под действием силы тяжести.
Например, парашютист в течение нескольких первых секунд прыжка находится практически в свободном падении. Свободное падение возможно на поверхность любого тела, обладающего достаточной массой (планеты и их спутники, звёзды, и т. п. ). Во время свободного падения какого-либо объекта этот объект находится в состоянии невесомости (как если бы он находился на борту космического аппарата, движущегося по околоземной орбите). Данное обстоятельство используется, например, при тренировке космонавтов: самолёт с космонавтами набирает большую высоту и пикирует, находясь в течение нескольких минут в состоянии свободного падения; космонавты и экипаж самолёта при этом испытывают состояние невесомости.
Свободное падение - движение под действием гравитационного поля. Тело испытывает состояние невесомости, т.е. не испытывает реакции опоры. Например, это может быть движение спутника вокруг планеты по окружности с постоянной по модулю скоростью.
Это первая космическая скорость: \(v_1=\sqrt{gR}\), где g - ускорение свободного падения вблизи поверхности планеты. Его телу сообщает сила тяжести. \(g=\frac{GM}{R^2}\) G - гравитационная постоянная, М - масса планеты, R - радиус планеты.
В конце XVI века знаменитый итальянский ученый Г. Галилей опытным путем с доступной для того времени точностью установил, что в отсутствие сопротивления воздуха все тела падают на Землю равноускоренно, и что в данной точке Земли ускорение всех тел при падении одно и то же. До этого в течение почти двух тысяч лет, начиная с Аристотеля, в науке было принято считать, что тяжелые тела падают на Землю быстрее легких.
Если взять разные по массе и размерам тела и бросить их с высоты нескольких метров, то мы увидим, что ускорение этих тел будут разными. Но это объясняется тем, что на пути к земле телам мешает сопротивление воздуха. Если бы движение осуществлялось в вакууме, то ускорения всех тел были бы одинаковыми. Независимо от массы тела при свободном падении Земля всем телам сообщает одинаковое ускорение, его называют ускорением свободного падения.
Ускорение, с которым падают на Землю тела, называется ускорением свободного падения. Вектор ускорения свободного падения обозначается символом \(\overrightarrow{g}\), он направлен по вертикали вниз. В различных точках земного шара в зависимости от географической широты и высоты над уровнем моря числовое значение g оказывается неодинаковым, изменяясь примерно от 9,83 м/с2 на полюсах до 9,78 м/с2 на экваторе. На широте Москвы g = 9,81523 м/с2. Обычно, если в расчетах не требуется высокая точность, то числовое значение g у поверхности Земли принимают равным 9,8 м/с2 или даже 10 м/с2.
Простым примером свободного падения является падение тела с некоторой высоты h без начальной скорости. Свободное падение является прямолинейным движением с постоянным ускорением. Если направить координатную ось OY вертикально вверх, совместив начало координат с поверхностью Земли, то для анализа свободного падения без начальной скорости можно использовать формулу для нахождения координаты y тела в любой момент времени t: $$ y=y_0 + v_0t + \frac{at^2}{2} $$ где \(v_0 = 0, \;\; y_0 = h, \;\; a = –g\). Обратим внимание на то, что если тело при падении оказалось в точке с координатой y < h, то перемещение s тела равно s = y – h < 0. Эта величина отрицательна, так как тело при падении перемещалось навстречу выбранному положительному направлению оси OY.
Основные величины, фигурирующие в задачах по данной теме:
- g - ускорение свободного падения, это ускорение, с которым падает тело. То есть у тела имеется скорость падения, и она постоянно увеличивается, до момента самого падения на пол; и есть ускорение, а вызвано оно силой притяжения Земли.
Ускорение свободного падения обозначается буквой g и равна 9,8 метр, разделенный на секунду в квадрате. - V - скорость тела в какой-то момент времени;
- \(V_0\) - скорость тела в самом начале падения;
- t - время падения;
- h - высота, на которую было поднято тело, после чего оно начало падать.
При решении задач на свободное падение систему отсчета связывают с Землей, а координата тела - его высота над поверхностью Земли.
Основные формулы:
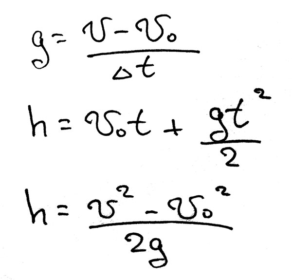
- \(h=V_0\cdot t+\frac{gt^2}{2}\)
- \(h=\frac{V^2-V_0^2}{2g}\)
- \(g=\frac{V-V_0}{t}\) эта формула может показаться странной, ведь g - это постоянная, и она равна ~10, но формула полезна, если выражать из неё скорость или время.

Закон всемирного тяготения
Все тела притягиваются друг к другу с силой, прямо пропорциональной их массам и обратно пропорциональной квадрату расстояния между ними. $$ F = G\frac{m_1\cdot m_2}{r^2} $$Здесь:
F — гравитационная сила, с которой два тела притягиваются друг к другу (Ньютон),
m1 — масса первого тела (кг),
m2 — масса второго тела (кг),
r — расстояние между центрами масс тел (метр),
G — гравитационная постоянная 6.67 · 10-11 (м3/(кг · сек2))
Сила тяжести вблизи поверхности земли:
$$ F=m\overrightarrow{g} $$
где g — ускорение свободного падения вблизи поверхности земли,
F — сила тяжести,
m — вес тела.
Как на основе формул закона всемирного тяготения и второго закона Ньютона определяется ускорение свободного падения?
Ускорение свободного падения можно определить, используя гравитационную постоянную. \( F=\frac{G\cdot m_1\cdot m_2}{(R+h)^2}\)
Исходя из второго закона Ньютона F=mg=ma, а в инерциальных системах отсчёта ускорение, приобретаемое материальной точкой, прямо пропорционально вызывающей его силе, совпадает с ней по направлению и обратно пропорционально массе материальной точки.
С каким ускорением совершают свободное падение любые тела?
Вблизи поверхности земли тела падают с ускорением свободного падения, равным 9,81 м/с2
Демонстрация явления свободного падения. Из длинной трубки откачивают воздух и помещают в неё несколько предметов разной массы. При переворачивании трубки, вне зависимости от массы, тела упадут на дно трубки одновременно.
Но если предметы будут находиться в какой либо среде, время падения будет отличаться. Даже если будут иметь одинаковую форму, размер, материал поверхности и т.д. но разную массу.
От каких величин и как зависит значение ускорения свободного падения?
Значение ускорения свободного падения не зависит от массы падающего тела, но зависит от географической широты местности и высоты подъема над земной поверхностью. Земля - не шар, а эллипсоид вращения, т.е. Радиус Земли на полюсе меньше радиуса Земли на экваторе. Поэтому сила тяжести и вызываемое ею значение ускорения свободного падения на полюсе больше, чем на экваторе.
На географической широте 45°, у поверхности Земли ускорение свободного падения равно 9,80665 м/с2 (округленно 9,81 м/с2). В различных точках земного шара в зависимости от географической широты и высоты над уровнем моря числовое значение g оказывается неодинаковым, изменяясь примерно от 9,83 м/с2 на полюсах до 9,78 м/с2 на экваторе.
Как и сила тяжести, ускорение свободного падения зависит от широты места и высоты его над уровнем моря (например, на спутниковой орбите радиуса 300 км ускорение свободного падения уменьшается почти на 5%).
Ускорение свободного падения может быть определено с помощью оборотного маятника. На широте Москвы на уровне моря \(g=981,56\frac{см}{с^2}\), на Луне характерное значение ускорения свободного падения \(1,6\frac{см}{с^2}\)
Что такое свободное падение?
Свободное падение - равнопеременное движение под действием силы тяжести, когда другие силы, действующие на тело отсутствуют или пренебрежимо малы.
Свободным падением тел называют падение тел на Землю в отсутствие сопротивления воздуха (в пустоте). Простым примером свободного падения является падение тела с некоторой высоты h без начальной скорости. Свободное падение является прямолинейным движением с постоянным ускорением.
С увеличением высоты над поверхностью земли ускорение свободного падения уменьшается. Почему же свободное падение тел считают равноускоренным движением?
Падение тела с БОЛЬШОЙ высоты не является равноускоренным движением, потому что в процессе падения с БОЛЬШОЙ высоты происходит изменение ускорения свободного падения: \(g=\frac{G\cdot M}{(R+h)^2}\)
но так как тела обычно падают с высоты \(h \ll R\) то g практически не меняется (такое движение можно считать равноускоренным)
Свободное падение тела продолжалось 6 с. На какой высоте находилось тело за 2с до падения на Землю?
Дано:
t1 = 6с
t2 = 2с
v0 = 0 м/с
g = 9,8 м/с^2
Найти:
h - h(общ - вопрос задачи)? t3 -
Решение
t3 = t1 - t2 = 6 - 2 = 4с
h1 = v0 * t - gt^2/2 = 0 - 9,8 м/с^2 * 6с^2 /2 = 176,4 м (общее расстояние за 6 секунд)
h2 = v0 * t - gt^2/2 = gt^2/2 = 9,8м/с^2 * 4^2с /2 = 78,4 м (расстояние, которое тело пролетело)
h (общ) = h1 - h2 = 98 метров.
Ответ: 98 метров.
Тело массой 1.5 кг совершает свободное падение. Чему равен модуль силы, действующей на тело? Модуль ускорения свободного падения принять равным 10 м/с (в квадрате)
Свободное падение, следовательно на тело действует только сила тяжести (не учитываем силу сопротивления воздуха);
Тогда величина силы тяжести:
$$ F=mg=1.5 кг \cdot 10 м/(с^2) = 15 Н $$Ответ: на тело действует сила, равная 15 Н (по модулю) ("по модулю" - это значит величина силы, не учитывая ее направление)
Вращающаяся с частотой 251 Гц юла срывается со стола. Найти количество оборотов до того, как она достигнет пола. (h=1 м)
Время, в течение которого эта юла будет падать с высоты 1 метр: \(\sqrt{\frac{2h}{g}} = \sqrt{\frac{2}{10}} = 0,45\) сек (поскольку \(h = \frac{gt^2}{2}\), то \(t = \sqrt{\frac{2h}{g}}\)).
Юла вращается с частотой 251 Гц, то есть делает 251 оборот в 1 секунду. Значит, за 0.45 секунд она успеет совершить 0.45 * 251 = 113 оборотов.
Шар массой 2 кг с состояния покоя совершает свободное падение, за время 2 с
1) чему равна его скорость во время столкновения с землей
2) чему равен импульс во время столкновения с землей
3) с какой высоты упал шар
4) чему равна полная механич энергия
Скорость свободного падения равна \(9,81 \frac{м}{с^2}\). Так как движение начинается с состояния покоя, то скорость шара во время столкновения с землей будет равна \(V=a\cdot t=9,81 \frac{м}{с^2}\cdot 2=19,62 \frac{м}{с}\), а путь, пройденный шаром будет равен \(S=a\cdot \frac{t^2}{2}= 9,81\frac{м}{с^2} \cdot \frac{(2с)^2}{2}с =19,62 м\)
Импульс силы во время столкновения с землей равен \(p=m\cdot v =2 кг \cdot 19,62 м/с=39,24 \frac{кг\cdot м}{с}\).
Полная механическая энергия равна сумме кинетической и потенциальной энергии:
$$ Е=mgh+\frac{mv^2}{2}=m(gh+\frac{v^2}{2})=\\=2 кг \cdot (9,81 \frac{м}{с^2} \cdot 19,62 м + \frac{(0 м/с)^2}{2})=\\=2 кг \cdot (0 м/с^2 \cdot 0 м + (19,62 м/с)^2/2)= 384,9444 Дж $$
В данном решении сравнивается полная механическая энергия в различные моменты (шар над землёй и шар во время столкновения с ней). Если бы шар перемещался в пространстве параллельно земле, то его полная механическая энергия была бы больше.
Во сколько раз уменьшится сила тяжести на высоте от поверхности земли, равной радиусу земли?
$$ F = G\frac{Mm}{R^2} $$Удвоим расстояние R - сила уменьшится в 4 раза (т.к. расстояние взято в квадрате).
Докажите, что при отсутствии сил сопротивлении воздуха время подъема тела, брошенного под углом к горизонту, равно времени его падения. Сохранится ли это равенство, если есть действие сил сопротивления воздуха?
Лучше всего воспользоваться энергетическими соображениями. Из них следует, что в отсутствие трения скорость прохождения каждой точки траектории одинакова как при подъёме, так и при падении. Поэтому время подъёма будет равно времени падения.
Если же существует трение, то полная энергия тела убывает. Поэтому, для произвольной заданной высоты скорость подъёма выше скорости падения. Следовательно, время падения будет больше времени подъёма.
