Небольшой шарик массой m=36г, подвешенный на нерастяжимой непроводящей нити имеет заряд q1=6мкКл. Второй шарик, имеющий отрицательный заряд q2=5 мкКл располагают точно под первым, на расстоянии L=50 см При этом сила натяжения нити равна ... ?
Изначально сила натяжения нити равна силе тяжести, действующая на первый шарик N = mg. При поднесении точно под первый шарик заряда в -5мкКл шарики начинают взаимодействовать. Так как заряды разноименные, то сила, действующая со стороны второго шарика на первый направлена вниз. И теперь сила натяжения становится больше на силу кулоновского взаимодействия, т.е. На F = k|q1||q2|/L^2, где k=constИтого сила натяжения Т = N + F = mg + k|q1||q2|/L^2
Подставим числа, переведя все данные в систему СИ
Т = 0,036*10 + 9*10^9 *5*6*10^-12/0,25 = 0,36 + 270*10^-3/0,25 = 0,36+1,08
T = 1,44 Н
Шарик массой 150 г подвешен на шелковой нити и имеет заряд 10нКл на расстоянии 30 см от нее снизу помещают другой шарик каким должен быть заряд этого шарика, чтобы сила натяжения нити уменьшилась вдвое
Сила натяжения нити шарика первоначально равна силе тяжестиFн₀ = Fт = g*m
Если снизу поднести заряженный шарик то на первый шарик будет действовать дополнительная кулоновская сила, направленная вверх.
Fн + Fк = g*m
Fк = g*m - Fн
Учтем что Fн = 0,5*Fн₀ = 0,5*g*m и получим
Fк = g*m - 0,5*g*m = 0,5*g*m
Fк = k*q₁*q₂/r², где
q₁ = 10 нКЛ
r = 30 см
k*q₁*q₂/r² = 0,5*g*m
q₂ = 0,5*g*m*r²/(k*q₁)
q₂ = 0,5*10 Н/кг * 0,150 кг * (0,30 м)² / (9*10⁹ Н*м²/кг² * 10*10⁻⁹ Кл) = 7,5*10⁻⁴ Кл
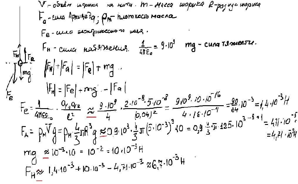
Шарик массой один грамм и с зарядом 2*10 в -8 степени, а так же радиусом 5 мм подвешен на нити. Затем его опускают в масло, в котором уже находится другой шарик с зарядом 5*10 в -8 (закреплен и неподвижен). Расстояние между двумя шариками составляет 4 см.
Найдите силу натяжения нити в масле

Тело массой 10 кг, имеющее заряд 5 мккл подвешено на нити. Тело отклоняют на 90 градусов и отпускают. Чему равна сила натяжения нити в тот момент, когда нить составляет угол 30 градусов ч вертикалью? Тело находится в однородном электрическом поле с напряженностью E = 2 кВ/м, направленном вертикально вниз.
Так как вектор напряженности электрического поля направлен вертикально вниз, то условно мы можем считать, что сверху расположена положительно заряженная обкладка, а снизу - отрицательнотак как тело заряжено положительно, то оно будет притягиваться к отрицательно заряженной обкладке, т.е. Сила F = q E со стороны электрического поля, действующая на тело, направлена вертикально вниз
электрическое поле способствует движению тела. С учетом этого запишем закон сохранения энергии:
mgL + q E S cosβ = (m v²)/2 + mgh,
где S - это модуль вектора перемещения тела (отрезок, соединяющий начальное и конечное положения), cosβ - угол между векторами силы и перемещения
из чертежа нетрудно получить, что
S = L
β = (π/2) - α
h = L (1 - cosα)
таким образом, ЗСЭ примет вид:
2 gL + 2 qE L sinα = v² + 2 gL (1 - cosα)
v² = 2 gL cosα + 2 qE L sinα
так как мы предполагаем, что нить не растяжима, то тело движется по окружности, поэтому оно в нужный нам момент обладает центростремительным ускорением a = v²/L, направленным вдоль нити. Запишем уравнение динамики:
T - (mg + qE) cosα = m (v²/L)
T = mg cosα + qE cosα + 2 mg cosα + 2 mqE sinα
T = 3 mg cosα + q E cosα (1 + 2m tgα)
T = 300*0.866+5*10^(-6)*2*10^(3)*0.866*(1+20*0.577) ≈ 260 H

