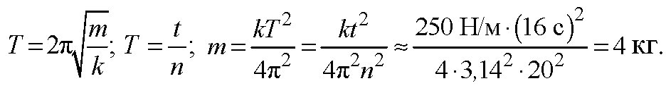
Найти массу груза, который на пружине жёсткостью 250 Н/м делает 20 колебаний за 16 секунд. *
Т=t / n. ( t-время, n-число колебаний).
Т=16 / 20=0,8c.
Из формулы периода:
T=2П*корень квадратный из m / k. ( k-жесткость, m-масса, П=3,14), для этого возведем и левую и правую части в квадрат:
T^2 = 4П^2*m / k. Выразим массу:
m=T^2*k / 4П^2.
m=4кг.

ПОХОЖИЕ ЗАДАНИЯ:
