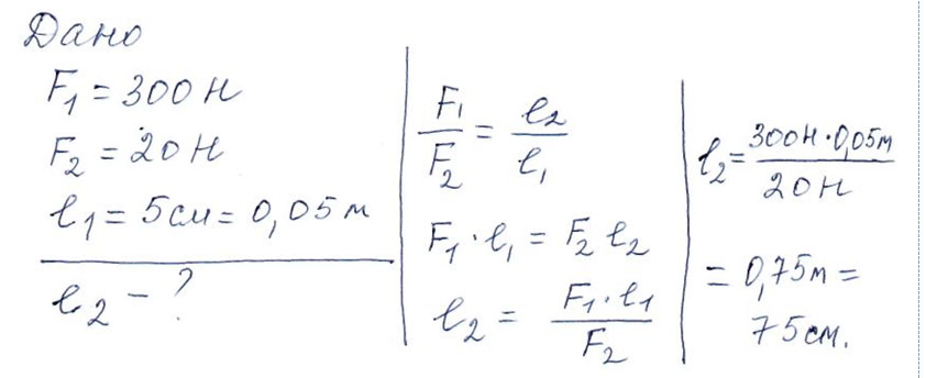
На меньшее плечо рычага действует сила 300Н, на большее- 20Н. Длина меньшего плеча 5см. Определите длину большего плеча.
F(1)l(1) = F(2)l(2)F(1) = 300H
l(1) = 5см = 0.05м
F(2) = 20H
300H * 0.05м = 20H * l(2)
l(2) = 300H * 0.05/20H = 15/20H = 0.75м
l(2) - длина большего плеча
Ответ: l(2) = 0.75м = 75 см

К концам горизонтального рычага приложены вертикальные силы 40н и 240н. Длина меньшего плеча равна 6 см. Определите длину рычага, если он находится в равновесии
F1 L1= F2L2L1= F2L2/ F1
L1= 240* 0,06 / 40= 0,36 м
L= L1+L2= 0,36+0,06= 0,42
Дано:
F1=40 Н.
F2=240 Н.
l2=0,06 м.
l1=?
l=?
_______
Решение:
Рычаг находится в равновесии. Применяем правило рычага: (На больший рычаг действует меньшая сила, на меньший рычаг действует большая сила).
\( \frac{F1}{F2}=\frac{l2}{l1};\\ F1*l1=F2*l2;\\ l1=\frac{F2*l2}{F1};\\ \)
Считаем:
l1=(240*0,06)/40=0,36 м=36 см.
l=l1+l2=0,06+0,36=0,42 м=42 см.
Ответ: l1=36 см. l=42 см.
К концам невесомого рычага подвешены грузы массами 4кг и 24 кг. Расстояние от точки опоры до большего груза равно 4 см.
Определить длину рычага, если рычаг находится в равновесии.
ДАНО: РЕШЕНИЕ: m1= 4 кг условие равновесия рычага F1*L1= F2*L2
m2= 24 кг найдем силы F1= m1*g F1= 4 кг*10Н/кг= 40 Н
L2= 4 см= 0,04 м F2= m2*g F2= 24 кг* 10 Н\Кг= 240 Н
НАЙТИ : L длина рычага это сумма его плеч L= L1 +L2
40* L1= 240*0.04
40*L1= 9,6
L1= 0,24 м
L= 0,24+0,04= 0,28 М
ОТВЕТ: 0,28 м
К концам невесомого рычага подвешены грузы массами 2кг и 12 кг. Расстояние от точки опоры до большого груза равно 2 см. Определите длину рычага, если рычаг находиться в равновесии
Запишем правило моментов :M1=M2; F1*d1=F2*d2; m1g*d1=m2*g*d2, где m1 - масса 1-ого груза, m2 - масса 2-ого, d1 - расстояние от точки опоры до 1-ого груза, d2 - расстояние от точки опоры до 2-ого (большего) груза.
g сокращается, получаем следущую пропорцию:
m1*d1=m2*d2=> m1:m2=d2:d1; Отсюда находим d1 :
d1=(m2*d2)/m1=12 см.
Длина всего рычага равна d1+d2=12+2=14 см.
К концам невесомого рычага приложены силы F1=62,4Н F2=20,8Н под действием которых он находится в равновесии. Опредилите длину рычага, если длина меньшего плеча l1=12 см.
F1=62,4Н F2=20,8Н под действием которых он находится в равновесии. Опредилите длину рычага, если длина меньшего плеча l1=12 см. L-Из условия равновесия рычага
F1*L1=F2*L2
L2=F1*L1/F2=62,4*12/20,8=36 см
L=L1+L2=12+36=48 см
А! Яке значення прискорення вільного падіння дістав учень під час виконання лабораторної роботи якщо математичнтй маятник завдовжки 1 м за 200 с зробив 100 коливань?
L=1 м t=200 с N=100 g -
T=t/N=200/100=2 с
T=2*π*√L/g
g=4*π^2*1/4=9,86 м/с2
