На наклонной плоскости с углом наклона 30 находится тело массой 50кг. Какую силу надо приложить к телу параллельно плоскости, чтобы опустить вниз с ускорением 5 м/с2. Коэффициент трения равен 0,1.
Полезная (стаскивающая, помогающая нам) проекция силы тяжести на плоскость естьmg sin30 в числах примерно 490 Н * 0,5 = 245 Н
сила трения (мешающая нам)
μ mg cos30 в числах примерно 0,1 * 490 Н * 0,866 = 42,4 Н
итого, без нашего вмешательства тело тащит равнодействующая сила примерно 200 Н
и сообщает ускорение 200 Н/50 кг = 4 м/с2
чтобы тело ехало с ускорением не 4, а 5 м/с, нужно чтобы равнодействующая была не 200, а 250 Н, т.е. Нам надо добавить усилие примерно 50 Н.
Тело массой 35 кг поднимают по наклонной плоскости. Какую силу надо приложить в направлении движения тела, если длина наклонной плоскости равна 4,5 м, высота - 95см, а КПД – 80%?
Η = \( \frac{A poleznaja}{A zatrachennaja} \) * 100 %η = \( \frac{P * h}{F * S} \) -> F = \( \frac{m * g * h }{n * S} \)
m - масса ( 35 кг )
g - ускорение свободного падения ( 10 Н / кг )
h - высота ( 95 см = 0,95 м )
η - КПД = 80 % = 0,8
S - путь ( 4,5 м )
F = \( \frac{35 * 10 * 0,95}{0,8 * 4,5} = \frac{332,5}{3,6} \) = 92,361 H
Проверка:
η = \( \frac{332,5}{92,361 * 4,5} = \frac{332,5}{415,6245} \) ≈ 0,8 * 100 = 80 %
На наклнной плоскости длиной 1.5м и высотой 0.75м лежит стальной брусок массой 500кг. Какую силу нужно приложить параллельно наклонной плоскости чтобы удерживать брусок в покоех? Равномерно поднимать вверх по наклонной плоскости? Коофицент трения 0.2
Sinα = 0,75/1,5 = 0,5 ⇒α = 30°. α — угол наклона плоскости.Скатывающая сила равна mgsinα = 500x10x0,5 = 2500 н.
Сила трения покоя равна μmgcosα = 0,2х500х10х0,866 = 866 н.
Если брусок не двигается, то сила трения направлена против скатывающей силы, значит, чтобы удержать его нужно приложить силу
равную 2500-866 = 1634 н.
Если брусок равномерно тянут вверх, то сила трения сонаправлена со скатывающей силой, и тогда нужно тянуть с силой, равной
2500+866 = 3366 н.
Ответ: 1634 н. ; 3366 н.
Длинна наклонной плоскости равна 4 метра, а высота 1 метр. Какую силу приложить для подъема груза массой 90 кг если КПД наклонной плоскости равен 75%?
Обозначим длину наклонной плоскости L, а высоту – Н.По определению КПД – это отношение полезной работы ко всем затратам.
Полезное – это подъем груза на высоту Н
Затраты – работа при движении вдоль L.
Переведём КПД из процентов в доли единицы
η = 0,75.
Итак η = Аполезн / Азатрач
Аполезн = mgH
Азатрач = FL
η = mgH / FL
Отсюда находим значение силы F
F = mgH / ηL
F = 90кг•10Н/кг •1м / (0,75•4м) = 300Н
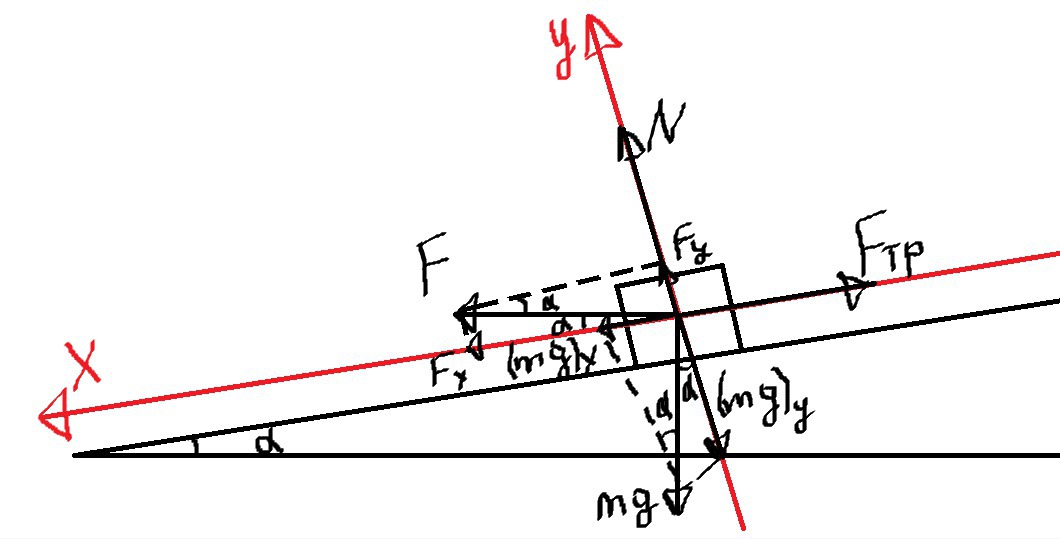
Какую горизонтальную силу f необходимо приложить к бруску чтобы он равномерно перемещался вниз по наклонной плоскости? Масса бруска 2 кг, коэффициент трения между бруском и поверхностью плоскости 0,2; плоскость образует угол 45 градусов с горизонтом.
Так как брусок должен двигаться равномерно (то есть, без ускорения), то сумма всех сил, действующих на него, должна быть равна нулю (скомпенсирована)распишем второй закон Ньютона на оси ОХ и OY:
OX: Fcosα + mgsinα - u N = 0
OY: N - mgcosα + Fsinα = 0.
выводя из OY выражение для силы нормальной реакции опоры N и подставляя ее в OX, получаем выражение для F:
F = mg (u cosα - sinα) / (cosα + u sinα).
F ≈ - 13.4 H

