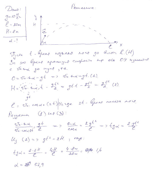
После удара ракеткой по теннисному мячу он, перелетев через сетку, ударяется о корт на расстоянии 20 м от начальной точки. Максимальная высота подъема Н=8 м. Под каким углом к горизонту был выполнен удар?
Ответ 57,9⁰vy=const
m*g*H=m*vx0^2/2
vx0=корень(2*g*H)
vx=vx0-g*t
x=vx0*t-g*t^2/2
x=0 при t=0 и при t=2*vx0/g=2*корень(2*g*H)/g=2*корень(2*H/g)=T
у=vy*t
y=L при t=T
L=vy*T=vy*2*корень(2*H/g)
vy=L/(2*корень(2*H/g)) = L*корень(g/(8*H))
tg(alpha)=vx0/vy=корень(2*g*H)/(L*корень(g/(8*H))) = 4*H/L = 4*8/20=8/5
alpha = arctg(4*H/L)=arctg( 4*8/20 )= arctg( 8/5 ) = 57,99462 грд

Под каким углом к горизонту надо бросить тело, чтобы дальность его полета была втрое больше максимальной высоты подъема?
\( S= \frac{v0 ^{2} sin2 \alpha }{g} \) Дальность\( h= \frac{v0 ^{2} sin ^{2} \alpha }{2g} \) Высота
\( S=3h \) по условию
подставляем и приравниваем
\( \frac{v0 ^{2} sin2 \alpha }{g}=3 \frac{v0 ^{2} sin ^{2} \alpha }{2g} \)
\( 2sin \alpha *cos \alpha = \frac{3}{2} sin ^{2} \alpha \)
\( cos \alpha = \frac{3}{4} sin \alpha \)
\( ctg \alpha = \frac{3}{4} \)
\( \alpha =53 \) Ответ
Наибольшая высота подъема тела, брошенного под углом к горизонту со скорость V₀ =20м/с, составляет h=10м. Под каким углом α оно брошено?
H= Vу²/2*gVy=√2*g*h=√2*1010=10*√2 м/с
sina=Vy/Vo=10*√2/20=√2/2
a=45 градусов
Дано:
V₀=20м/с
h=10м
α-
для нахождения угла α, под которым было брошено тело, воспользуемся формулой
h=\( \frac{V^2-V^2_{0} }{2g} \)
т к в верхней точке траектории скорость V=0, то формула примет вид
h=\( \frac{ V^2_{0} }{2g} \),
где V₀ - проекция скорости на ось оу, равная V₀(у)=V₀sinα
тогда
h=\( \frac{ V^2_{0}sin^2 \alpha }{2g} \)
выразим искомую величину
sin²α=\( \frac{2gh}{ V^2_{0} } \)
sin²α=\( \frac{2*10*10}{400} \)
sin²α=1/2
sinα=\( \sqrt{ \frac{1}{2} } = \frac{ \sqrt{2} }{2} \)
α=45°
Однажды барон Мюнхгаузен поднялся на привязанном воздушном шаре над полем боя на высоту 150м. Мимо него, параллельно земле, пролетает тяжелое ядро, пущенное из лагеря неприятеля. Барон садится на ядро и летит на нем до самой земли. Найти, под каким углом к горизонту было запущенно ядро, если Мюнхгаузен приземлится на расстоянии 150м по горизонтали от воздушного шара. Масса ядра и барона одинаковы.
Из-за закона сохранения импульса барон массы М, усевшись на ядро массы М ( летевшее параллельно земле со скоростью V₁ ДО встречи с Мюнхаузеном) уменьшил тем самым скорость ядра вдвое:MV₁ = 2МV₂ откуда следует V₂ = V₁/2
Если бы Мюнхаузен не прыгал на ядро, оно полетело бы дальше с прежней скоростью и упало бы на землю на дистанции вдвое большей и вошло бы в землю под тем же углом, что и в момент выстрела. Решив задачу полета ядра без барона, мы и найдём искомый угол.
Итак.
Высота h₀ = 150 метров.
Дальность полёта L₀ = 2L₁ = 300 метров
время полёта равно времени свободного падения t₀ с высоты h₀
t₀ = √(2h₀/g)
Вертикальная составляющая скорости в момент приземления v₁ = gt₀ = g√(2h₀/g) = √(2h₀g)
Горизонтальная составляющая скорости без барона
v₂ = L₀/t₀ = L₀/√(2h₀/g) = L₀√(g/2h₀)
Тангенс угла влёта (и вылета):
tgα = v₁/v₂ = √(2h₀g)/(L₀√(g/2h₀) = 2h₀/L₀
tgα = 2*150/300 = 1 => α=45°
Таким образом, ядро вылетело из пушки под углом 45 градусов
Под каким углом к горизонту нужно бросить тело чтобы дальность полета была в 6 раз больше максимальной высоты подъема?
сопротивлением воздуха пренебречь
Формула дальности\( S= \frac{v0 ^{2}sin2 \alpha }{g} \)
формула для высоты
\( h= \frac{v0 ^{2} sin ^{2} \alpha }{2g} \)
по условию
\( S=6h \)
подставляем и считаем
\( \frac{v0 ^{2}sin2 \alpha }{g} =6 *\frac{v0 ^{2}sin ^{2} \alpha }{2g} \)
\( \frac{sin2 \alpha }{1} =6 *\frac{sin ^{2} \alpha }{2} \)
\( sin2 \alpha =3 *sin ^{2} \alpha \)
\( 2 sin \alpha *cos \alpha =3 *sin ^{2} \alpha \)
\( 2 *cos \alpha =3 *sin \alpha \)
\( \frac{sin \alpha }{cos \alpha } = tg \alpha =\frac{2}{3} \)
\( \alpha =33,7 \) Ответ
